2022年硕士研究生《数学(一)》模拟卷(二)
搜题
1、

A.极限不存在
B.极限存在,但不连续
C.连续,但不可导
D.可导
本题答案:
D
D
2、设函数f(x)=secx在x=0处的2次泰勒多项式为1+ax+bx2,则().
A.a=1,b=-
B.a=1,b=
C.a=0,b=-
D.a=0,b=
本题答案:
D
D
3、有一椭圆形薄板,长、短半轴分别为a与b.薄板垂直立于液体中,其长轴与液面相齐.设液体的比重为y,则液体对薄板的侧压力为( ).
A.
B.
C.
D.
本题答案:
B
B
4、

A.对x可偏导,对y不可偏导
B.对x不可偏导,对y可偏导
C.对x可偏导,对y也可偏导
D.对x不可偏导,对y也不可偏导
本题答案:
B
B
5、



A.
B.
C.
D.
本题答案:
D
D
6、



A.充分必要条件
B.充分而非必要条件
C.必要而非充分条件
D.既非必要也非充分条件
本题答案:
C
C
7、
的取值

的取值
A.(-2,2).
B.2.
C.(2,+∞).
D.(-∞,-2).
本题答案:
A
A
8、设事件A,B互不相容,且0
A.P(B|
)+P(A)P(B|
)=P(B)
B.P(B|
)-P(A)P(B|
)=P(B)
C.P(B|
)+P(A)P(B|
)=P(
)
D.P(B|
)-P(A)P(B|
)=P(
)
本题答案:
B
B
9、
中正确的是( ).

中正确的是( ).
A.
B.
C.
D.
本题答案:
C
C
10、

为( ).


为( ).
A.
B.
C.
D.
本题答案:
C
C
11、

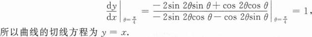
本题答案:
y=x
【解析】

y=x
【解析】

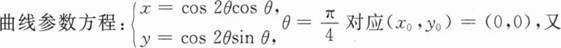
12、

本题答案:
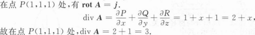
13、向量场A(x,y,z)=(z+y+z)i+xyj+zk在点P(1,1,1)处的旋度rotA=_______,divA=_______.
本题答案:
j,3.
【解析】
j,3.
【解析】
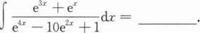
14、

本题答案:
2π
【解析】

2π
【解析】

15、

本题答案:
(0,4)
【解析】

(0,4)
【解析】

16、

本题答案:
-120
【解析】
把第一行加到第四行,提出公因数10,再把第四行逐行互换到第一行,由范德蒙行列式,得
-120
【解析】
把第一行加到第四行,提出公因数10,再把第四行逐行互换到第一行,由范德蒙行列式,得
17、位于上半平面且图形凹的曲线y=y(x)在点(0,1)处的切线斜率为0,在点(2,2)处的切线斜率为1.已知曲线上任一点处的曲率半径与y
及(1+y'2)的乘积成正比,求该曲线方程.
及(1+y'2)的乘积成正比,求该曲线方程.
本题答案:


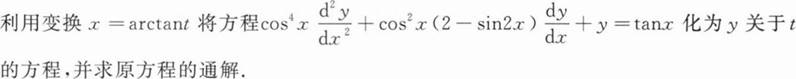
18、



本题答案:
视ξ,η为中间变量,x,y为自变量.

视ξ,η为中间变量,x,y为自变量.

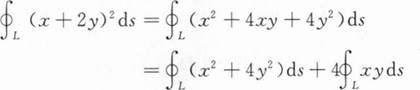
19、

本题答案:
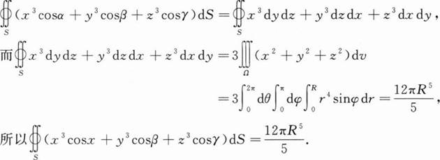
由两类曲面积分之间的关系得
由两类曲面积分之间的关系得
20、

本题答案:


21、

本题答案:

(1)当a≠-1且a≠6时,方程组有唯一解;
(2)当a=6时,


(3)



(1)当a≠-1且a≠6时,方程组有唯一解;
(2)当a=6时,


(3)


22、设总体X的概率密度为


本题答案:
X的数学期望为
X的数学期望为

最近更新试卷
Copyright © 奋学网(www.fxuexi.com)All Right Reserved.湘ICP备2021013332号-3