2021年硕士研究生《数学(二)》真题
搜题
1、

A.低阶无穷小
B.等价无穷小
C.高阶无穷小
D.同阶但非等价无穷小
本题答案:
C
C
2、

A.连续且取得极大值
B.连续且取得极小值
C.可导且导数为零
D.可导且导数不为零
本题答案:
D
D
3、有一圆柱体,底面半径与高随时间变化的速率分别为2cm/s,-3cm/s,当底面半径为10cm,高为5cm时,圆柱的体积与表面积随时间变化的速率分别为().
A.125πcm3/s,40πcm2/s
B.125πcm3/s,-40πcm2/s
C.-100πcm3/s,40πcm2/s
D.-100πcm3/s,-40πcm2/s
本题答案:
C
C
4、设函数f(x)=ax-blnx(a>o)有2个零点,则b/a的取值范围是().
A.(e,+∞)
B.(0,e)
C.(0,
)
D.(
,+∞)
本题答案:
A
A
5、设函数f(x)=secx在x=0处的2次泰勒多项式为1+ax+bx2,则().
A.a=1,b=-
B.a=1,b=
C.a=0,b=-
D.a=0,b=
本题答案:
D
D
6、设函数f(x,y)可微,且f(x+1,ex)=x(x+1)2,f(x,x2)=2x2lnx,则df(1,1)=().
A.dx+dy
B.dx-dy
C.dy
D.-dy
本题答案:
C
C
7、设函数f(x)在区间[0,1]上连续,则

A.
B.
C.
D.
本题答案:
B
B
8、二次型f(x1,x2,x3)=(x1+x2)2+(x2+x3)2-(x3-x1)2的正惯性指数与负惯性指数依次为().
A.2,0
B.1,1
C.2,1
D.1,2
本题答案:
B
B
9、设三阶矩阵A=(α1,α2,α3),B=(β1,β2,β3),若向量组α1,α2,α3可以由向量组β1,β2,β3线性表出,则().
A.Ax=0的解均为Bx=0的解
B.ATx=0的解均为BTx=0的解
C.Bx=0的解均为Ax=0的解
D.BTX=0的解均为ATx=0的解
本题答案:
D
D
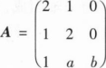
10、已知矩阵
,若下三角可逆矩阵P和上三角可逆矩阵Q,可使得PAQ为对角矩阵,则P,Q可以分别取().
,若下三角可逆矩阵P和上三角可逆矩阵Q,可使得PAQ为对角矩阵,则P,Q可以分别取().A.
B.
C.
D.
本题答案:
C
C
11、

本题答案:

【解析】

【解析】
12、

本题答案:

【解析】

【解析】
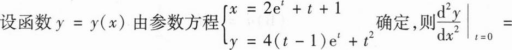
13、设函数z=z(x,y)由方程(x+1)z+ylnz-arctan(2xy)=1确定,则

本题答案:
1
【解析】
令F(x,y,z)=(x+1)z+y In z-arctan(2xy)-1,
1
【解析】
令F(x,y,z)=(x+1)z+y In z-arctan(2xy)-1,
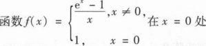
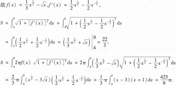
14、已知函数

本题答案:

【解析】交换积分次序求解.

【解析】交换积分次序求解.
15、微分方程y'''-y=0的通解为______.
本题答案:

【解析】该微分方程的特征方程为λ3—1=0,解得特征根为

【解析】该微分方程的特征方程为λ3—1=0,解得特征根为
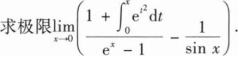
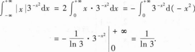
16、

本题答案:
一5
【解析】
一5
【解析】
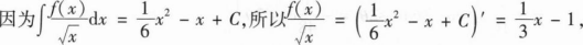
17、

本题答案:
18、已知函数
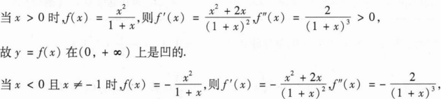
,求曲线y=f(x)的凹凸区间及渐近线.
,求曲线y=f(x)的凹凸区间及渐近线.
本题答案:
由题意知x=-1为间断点.
由题意知x=-1为间断点.
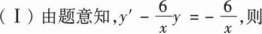
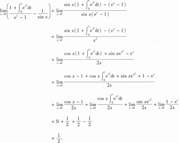
19、设函数f(x)满足
,L为曲线y=f(x)(4≤x≤9),记L的长度为S,L绕x轴旋转所成旋转曲面的面积为A,求S和A
,L为曲线y=f(x)(4≤x≤9),记L的长度为S,L绕x轴旋转所成旋转曲面的面积为A,求S和A
本题答案:


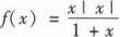
20、设y=y(x)(x>0)是微分方程xy'—6y=-6满足条件y(
)=10的解.
(I)求y(x);
(Ⅱ)设P为曲线y=y(x)上一点,记曲线y=y(x)在点P的法线在Y轴上的截距为Ip
当Ip最小时,求点P的坐标.
)=10的解.(I)求y(x);
(Ⅱ)设P为曲线y=y(x)上一点,记曲线y=y(x)在点P的法线在Y轴上的截距为Ip
当Ip最小时,求点P的坐标.
本题答案:


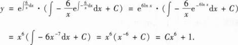
21、设平面区域D由曲线(x2+y2)2=x2-y2(x≥0,y≥0)与x轴围成,计算二重积分

本题答案:
22、设矩阵
仅有两个不同的特征值,若A相似于对角矩阵,求a,b的值,并求可逆矩阵P,使P-1AP为对角矩阵.
仅有两个不同的特征值,若A相似于对角矩阵,求a,b的值,并求可逆矩阵P,使P-1AP为对角矩阵.
本题答案:

因为矩阵A仅有两个不同的特征值,所以b=1或b=3.
①当b=1时,A的特征值为λ1=λ2=1,λ3=3.
因为A相似于对角矩阵,所以r(E—A)=1,

因为矩阵A仅有两个不同的特征值,所以b=1或b=3.
①当b=1时,A的特征值为λ1=λ2=1,λ3=3.
因为A相似于对角矩阵,所以r(E—A)=1,