2022年硕士研究生《数学(二)》模拟卷(二)
搜题
1、

A.高阶无穷小
B.低阶无穷小
C.同阶非等价无穷小
D.等价无穷小
本题答案:
C
C
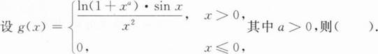
2、

A.x=0必是g(x)的第一类间断点
B.x=0必是g(x)的第二类间断点
C.x=0必是g(x)的连续点
D.g(x)在点x=0处的连续性与a的取值有关
本题答案:
D
D
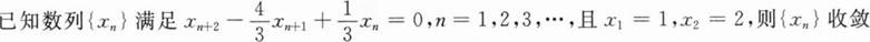
3、
于( ).

于( ).
A.1
B.-1
C.
D.
本题答案:
C
C
4、

A.
B.
C.
D.
本题答案:
A
A
5、设函数f(x)可导,y=f(x3),当自变量x在x=-1处取得增量△x=-0.1时,相应的函数增量△y的线性主部为0.3,则f'(-1)=( ).
A.-1
B.0.1
C.1
D.0.3
本题答案:
A
A
6、用铁锤将一铁钉打击入木板,设木板对铁钉的阻力与铁钉击人木板的深度成正比.在铁锤击第一次时能把铁钉击入1cm,如果铁锤每次打击做的功相等,则第二次能把铁钉击入______cm.
A.
+1.
B.
C.
-1.
D.
-1/2.
本题答案:
C
C
7、对二元函数z=f(x,y),下列结论正确的是( ).
A.z=f(x,y)可微的充分必要条件是z=f(x,y)有一阶连续的偏导数
B.若z=f(x,y)可微,则z=f(x,y)的偏导数连续
C.若z=f(x,y)偏导数连续,则z=f(x,y)一定可微
D.若z=f(x,y)的偏导数不连续,则z=f(x,y)一定不可微
本题答案:
C
C
8、设A是m×s矩阵,B是s×n矩阵,则齐次线性方程组Bx=0和ABx=0是同解方程组的一个充分条件是( ).
A.r(A)=m
B.r(A)=s
C.r(B)=s
D.r(B)=n
本题答案:
B
B
9、

A.
B.
C.
D.
本题答案:
C
C
10、二次型f(x1,x2,x3)=(x1-x2)2+(x2-x3)2+(x3-x1)2的标准形为().
A.
B.
C.
D.
本题答案:
B
B
11、

本题答案:
2
【解析】

2
【解析】

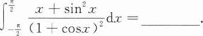
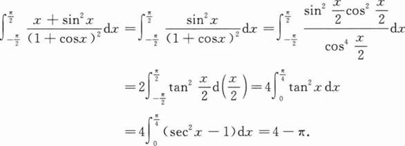
12、

本题答案:
4-π
【解析】
4-π
【解析】
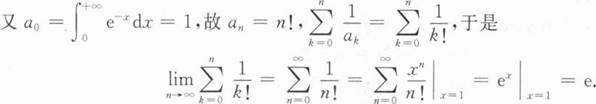
13、

本题答案:
e
【解析】

e
【解析】

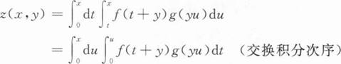
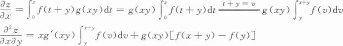
14、

本题答案:

【解析】


【解析】

15、

本题答案:

【解析】


【解析】

16、

本题答案:

【解析】


【解析】

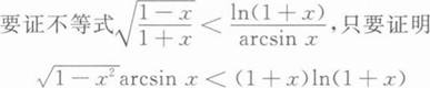
17、

本题答案:
【证明】

【证明】

18、

本题答案:




19、

本题答案:


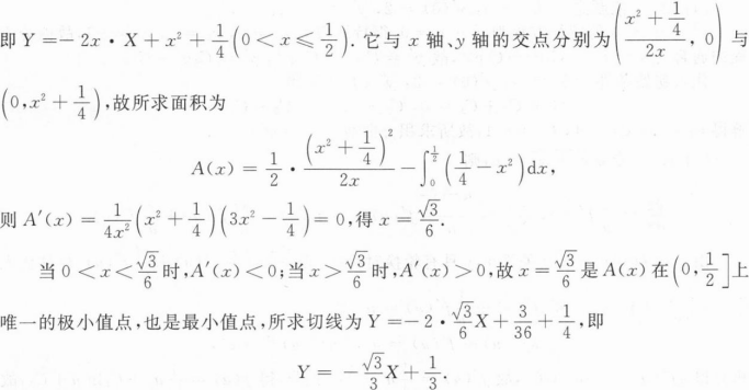
20、

(Ⅰ)求曲线L的方程;
(Ⅱ)求L位于第一象限部分的一条切线,使该切线与L以及两坐标轴所围的面积最小.


(Ⅰ)求曲线L的方程;
(Ⅱ)求L位于第一象限部分的一条切线,使该切线与L以及两坐标轴所围的面积最小.
本题答案:
(I)


(Ⅱ)

(I)


(Ⅱ)

21、



本题答案:


22、

本题答案:

