2019年硕士研究生《数学(三)》真题
搜题
1、当x→0时,x-tanx与xk是同阶无穷小,则k=( ).
A.1
B.2
C.3
D.4
本题答案:
C
C
2、已知方程x5-5x+k=0有3个不同的实根,则k的取值范围是( ).
A.(-∞,-4)
B.(4,+∞)
C.[-4,4]
D.(-4,4)
本题答案:
D
D
3、已知微分方程y”+ay'+by=cex的通解为y=(C1+C2x)e-x+ex,则a,b,c依次为( ).
A.1,0,1
B.1,0,2
C.2,1,3
D.2,1,4
本题答案:
D
D
4、

A.
B.
C.
D.
本题答案:
B
B
5、设A是四阶矩阵,A*是A的伴随矩阵,若线性方程Ax=0的基础解系中只有2个向量,则A*的秩是( ).
A.0
B.1
C.2
D.3
本题答案:
A
A
6、设A是三阶实对称矩阵,E是三阶单位矩阵,若A2+A=2E,且|A|=4,则二次xTAx的规范形为( ).
A.
B.
C.
D.
本题答案:
C
C
7、设A,B为随机事件,则P(A)=P(B)的充分必要条件是( ).
A.P(A∪B)=P(A)+P(B)
B.P(AB)=P(A)P(B)
C.P(A
)=P(B
)
D.P(AB)=P(
)
本题答案:
C
C
8、设随机变量X和Y相互独立,且都服从正态分布N(μ,σ2),则P{|X-Y|<1}( ).
A.与μ无关,而与σ2有关
B.与μ有关,而与σ2无关
C.与μ,σ2都有关
D.与μ,σ2都无关
本题答案:
A
A
9、

本题答案:

【解析】


【解析】

10、

本题答案:
(π,-2)
【解析】
y’=sinx+xcosx-2sinx=xcosx-sinx.
y”=cosx-xsinx-cosx=-xsinx.
令y”=0,得x=0,x=π
又在x=0的左右两侧,y”<0,故(0,2)不是拐点.
(π,-2)
【解析】
y’=sinx+xcosx-2sinx=xcosx-sinx.
y”=cosx-xsinx-cosx=-xsinx.
令y”=0,得x=0,x=π
又在x=0的左右两侧,y”<0,故(0,2)不是拐点.
11、

本题答案:

【解析】


【解析】

12、A、B两商品的价格分别表示为PA、PB,设A商品的需求函数QA=500-
,则当PA=10,PB=20时,商品A的需求量对自身价格需求弹性
(
>0)=________.
,则当PA=10,PB=20时,商品A的需求量对自身价格需求弹性
(
>0)=________.
本题答案:
0.4
【解析】

0.4
【解析】

13、
,若线性方程组Ax=b有无穷多解,则a=
,若线性方程组Ax=b有无穷多解,则a=
本题答案:
1
【解析】


当a=1时,r(A)=r(A)=2<3,方程组Ax=b有无穷多解,故a=1.
1
【解析】


当a=1时,r(A)=r(A)=2<3,方程组Ax=b有无穷多解,故a=1.
14、设连续型随机变量x的概率密度为
F(X)为x的分布函数,E(X)为X的数学期望,则P{F(X)>E(X)-1}=________.
F(X)为x的分布函数,E(X)为X的数学期望,则P{F(X)>E(X)-1}=________.
本题答案:

【解析】
解法一



【解析】
解法一


15、

本题答案:
解:



解:



16、设函数f(u,v)具有二阶连续偏导数,函数g(x,y)=xy-f(x+y,x-y),求

本题答案:
解:


解:


17、设函数y(x)是微分方程
满足条件y(1)=
的特解.
(I)求y(x);
(II)设平面区域D={(x,y)|1≤x≤2,0≤y≤y(x)},求D绕x轴旋转一周所得旋转体的体积.
满足条件y(1)=
的特解.(I)求y(x);
(II)设平面区域D={(x,y)|1≤x≤2,0≤y≤y(x)},求D绕x轴旋转一周所得旋转体的体积.
本题答案:
解:(I)

解:(I)

18、求曲线Y=e-xsinx(x≥0)与x轴之间围成的图形的面积.
本题答案:
解:

解:

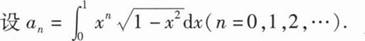
19、
(I)证明:数列{an}单调递减,且
(Ⅱ)

(I)证明:数列{an}单调递减,且

(Ⅱ)

本题答案:
解:(I)



解:(I)



20、

本题答案:
解:

解:

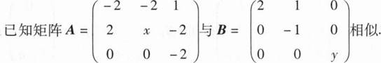
21、
(I)求x,y;
(Ⅱ)求可逆矩阵P使得P-1AP=B.

(I)求x,y;
(Ⅱ)求可逆矩阵P使得P-1AP=B.
本题答案:
解:(I)


解:(I)


22、设随机变量X与Y相互独立,X服从参数为1的指数分布,Y的概率分布为P{Y=-1}=P,P{Y=1}=1-p,(0
(I)求Z的概率密度;
(Ⅱ)p为何值时,X与Z不相关?
(III)X与Z是否相互独立?
本题答案:
解:


解:


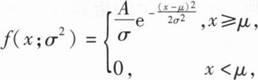
23、设总体X的概率密度为
其中μ是已知参数,σ>0是未知参
数,A是常数,X1,X2,…,Xn是来自总体X的简单随机样本.
(I)求A;
(Ⅱ)求σ2的最大似然估计量.
其中μ是已知参数,σ>0是未知参数,A是常数,X1,X2,…,Xn是来自总体X的简单随机样本.
(I)求A;
(Ⅱ)求σ2的最大似然估计量.
本题答案:
解:


解:

